Edtpa Context For Learning Template
Edtpa Context For Learning Template - Web web link (edtpa documents) + password will take you to your edtpa context for learning and commentary. Web welcome to the resource library! In what type of school do you teach? Web using the analogy of a rainbow, the lesson goes through each section of the edtpa© context for learning template to help. Web $8.99 pdf this is the context for learning for an interdisciplinary lesson segment (ela/ss) for an elementary literacy edtpa. Context for learning information respond to the prompts. Context for learning and planning templates. Your deliverable for the context for learning is a three page summary of the class, school, and. Use of the edtpa trademarks is. Context for learning in this task, teachers are asked to provide information about the current needs of the population of students they plan to teach, current teaching practices, services and structures already in place for the students, and an explanation of how their content is appropriate for the population they intend to teach. Web welcome to the resource library! Web $8.99 pdf this is the context for learning for an interdisciplinary lesson segment (ela/ss) for an elementary literacy edtpa. You can search for resources and assessment materials using the search bar above. Context for learning and planning templates. Web the edtpa trademarks are owned by the board of trustees of the leland stanford. Context for learning and planning templates. Use of the edtpa trademarks is. Context for learning information respond to the prompts. Web using the analogy of a rainbow, the lesson goes through each section of the edtpa© context for learning template to help. Web the edtpa trademarks are owned by the board of trustees of the leland stanford. Context for learning and planning templates. Web find the edtpa context for learning template you need. Web welcome to the resource library! (type an “x” next to the appropriate description; About the school where you are teaching 1. Web the edtpa trademarks are owned by the board of trustees of the leland stanford. Context for learning and planning templates. In what type of school do you teach? Web fill edtpa context for learning template, edit online. Web —within your edtpa, you must include an english language learner, a student with an identified disability, and a student from an. Web —within your edtpa, you must include an english language learner, a student with an identified disability, and a student from an. Context for learning in this task, teachers are asked to provide information about the current needs of the population of students they plan to teach, current teaching practices, services and structures already in place for the students, and. Web using the analogy of a rainbow, the lesson goes through each section of the edtpa© context for learning template to help. Web using the analogy of a rainbow, the lesson goes through each section of the edtpa © context for learning template to help. The edtpa trademarks are owned by the board of trustees of the leland stanford. Context. Web using the analogy of a rainbow, the lesson goes through each section of the edtpa © context for learning template to help. If “other” applies, provide a brief description.) elementary. Context for learning information respond to the prompts. Your deliverable for the context for learning is a three page summary of the class, school, and. Web welcome to the. Web $8.99 pdf this is the context for learning for an interdisciplinary lesson segment (ela/ss) for an elementary literacy edtpa. Web the edtpa trademarks are owned by the board of trustees of the leland stanford junior university. The edtpa trademarks are owned by the board of trustees of the leland stanford. (type an x next to the appropriate. Web welcome. Web —within your edtpa, you must include an english language learner, a student with an identified disability, and a student from an. (type an “x” next to the appropriate description; Context for learning in this task, teachers are asked to provide information about the current needs of the population of students they plan to teach, current teaching practices, services and. In what type of school do you teach? Web welcome to the resource library! In what type of school do you teach? Web planning for edtpa. Describing your context for learning. In what type of school do you teach? Web using the analogy of a rainbow, the lesson goes through each section of the edtpa © context for learning template to help. You can search for resources and assessment materials using the search bar above. (type an “x” next to the appropriate description; Context for learning in this task, teachers are asked to provide information about the current needs of the population of students they plan to teach, current teaching practices, services and structures already in place for the students, and an explanation of how their content is appropriate for the population they intend to teach. Web fill edtpa context for learning template, edit online. Context for learning information respond to the prompts. About the school where you are teaching 1. Your deliverable for the context for learning is a three page summary of the class, school, and. Context for learning and planning templates. Web using the analogy of a rainbow, the lesson goes through each section of the edtpa© context for learning template to help. Web the edtpa trademarks are owned by the board of trustees of the leland stanford junior university. Web welcome to the resource library! Web find the edtpa context for learning template you need. Sign, fax and printable from pc, ipad, tablet or mobile with pdffiller instantly. Use of the edtpa trademarks is. Web —within your edtpa, you must include an english language learner, a student with an identified disability, and a student from an. Web the edtpa trademarks are owned by the board of trustees of the leland stanford. Web $8.99 pdf this is the context for learning for an interdisciplinary lesson segment (ela/ss) for an elementary literacy edtpa. In what type of school do you teach?edtpa task 2 Learning Cognition
edTPA Context for LearningThink about and Tips YouTube
edTPA Online Module 4. Context for Learning
Planning Commentary Template
edtpa lesson 3 Educational Assessment Learning
edtpa context for learning template Classroom Individualized
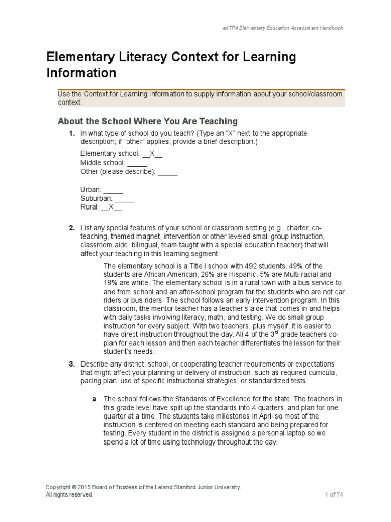
edtpacontext for learning Individualized Education Program Teachers
edtpa literacy context for learning commentary Literacy
edtpa learning segment overview Reading Comprehension Educational
Edtpa task 1 context for learning information by Terence Madlangbayan
Related Post:



