Emergency Sop Template
Emergency Sop Template - Web standard operating procedures (sops) are formal, written guidelines or instructions for incident response that typically have both operational and. If you’re looking for a. Primary and secondary evacuation routes 3. Web the sops define roles and responsibilities of relevant actors and establish coordination mechanisms among them to better. Web to establish a system to provide guidance to deal with emergencies efficiently and to: Web get your sop templates. Web standard operating procedures (sop) template sop topical outline (sample only) (activity name and address). The following sections provide a summary of some of the emergency situations which. Web emergency operation plan templates; At bizzlibrary.com, we offer a variety of sop templates that cover different procedures,. Web the purpose of this project is tocollect and analyze sops/sogs from north american fire. Air quality / wildfire ash; Web where to get this free sop template: If you’re looking for a. Web emergency operation plan templates; Workflows can streamline your operations. Primary and secondary evacuation routes 3. Web where to get this free sop template: Web • to develop the sop template for provincial health emergency operation centers (pheocs) • to review and finalize the draft. The following sections provide a summary of some of the emergency situations which. The following sections provide a summary of some of the emergency situations which. Web emergency operation plan templates; Web to establish a system to provide guidance to deal with emergencies efficiently and to: Web sop template is a document or memo that stands for standard operating procedure for a specific issue, case, or. Workflows can streamline your operations. Primary and secondary evacuation routes 3. Web the purpose of this project is tocollect and analyze sops/sogs from north american fire. Web standard operating procedures (sops) are formal, written guidelines or instructions for incident response that typically have both operational and. The following sections provide a summary of some of the emergency situations which. Web standard operating procedures (sop) template. Web • to develop the sop template for provincial health emergency operation centers (pheocs) • to review and finalize the draft. Ensure the safety, health of all personnel. If you’re looking for a. Web the purpose of this project is tocollect and analyze sops/sogs from north american fire. Web sop template is a document or memo that stands for standard. Web the purpose of this project is tocollect and analyze sops/sogs from north american fire. Web emergency action plan template standard operating procedures (sop) it is the pi/supervisor's responsibility to the. Locations of fire extinguishers 4. Ensure the safety, health of all personnel. If you’re looking for a. Locations of fire extinguishers 4. Web standard operating procedures (sops) are formal, written guidelines or instructions for incident response that typically have both operational and. Workflows can streamline your operations. Web download a free sample sop template. Web emergency action plan template standard operating procedures (sop) it is the pi/supervisor's responsibility to the. Web the purpose of this project is tocollect and analyze sops/sogs from north american fire. Web emergency operation plan templates; Web the sops define roles and responsibilities of relevant actors and establish coordination mechanisms among them to better. This document provides guidance to facilitate planning for and execution of patient handoff between personnel at a. Workflows can streamline your operations. Web get your sop templates. Web 37 best standard operating procedure (sop) templates for organizations or institutions which desire that certain activities are. Web sops are an important part of documenting your team workflows. If you’re looking for a. Air quality / wildfire ash; At bizzlibrary.com, we offer a variety of sop templates that cover different procedures,. Web • to develop the sop template for provincial health emergency operation centers (pheocs) • to review and finalize the draft. Web emergency action plan template standard operating procedures (sop) it is the pi/supervisor's responsibility to the. Primary and secondary evacuation routes 3. The following sections provide. Web emergency operation plan templates; If you’re looking for a. Web emergency action plan template standard operating procedures (sop) it is the pi/supervisor's responsibility to the. Web where to get this free sop template: Web sop template is a document or memo that stands for standard operating procedure for a specific issue, case, or. Web standard operating procedures (sops) are formal, written guidelines or instructions for incident response that typically have both operational and. This document provides guidance to facilitate planning for and execution of patient handoff between personnel at a. Web the purpose of this project is tocollect and analyze sops/sogs from north american fire. Web the sops define roles and responsibilities of relevant actors and establish coordination mechanisms among them to better. Web sops are an important part of documenting your team workflows. Web to establish a system to provide guidance to deal with emergencies efficiently and to: Locations of fire extinguishers 4. Web get your sop templates. Web download a free sample sop template. Web 37 best standard operating procedure (sop) templates for organizations or institutions which desire that certain activities are. Web standard operating procedures (sop) template sop topical outline (sample only) (activity name and address). Primary and secondary evacuation routes 3. At bizzlibrary.com, we offer a variety of sop templates that cover different procedures,. Air quality / wildfire ash; Safety culture standard operating procedure template.Emergency Management Plan Examples 7+ in PDF Examples
Emergency Information Get Notified Highline College
FREE 35+ SOP Templates in PDF
FINISHED PRODUCT RELEASE SOP Template MD47 GMP, QSR & ISO Comp
Form Sop Sample Emergency Medical Services Cardiopulmonary
Federal Worksite Emergency Response Procedures Poster Compliance
42 emergency poster
Download SOP Templates 08 Standard operating procedure, Standard
New at Highline 4Year Degree in Integrated Design » Highline College
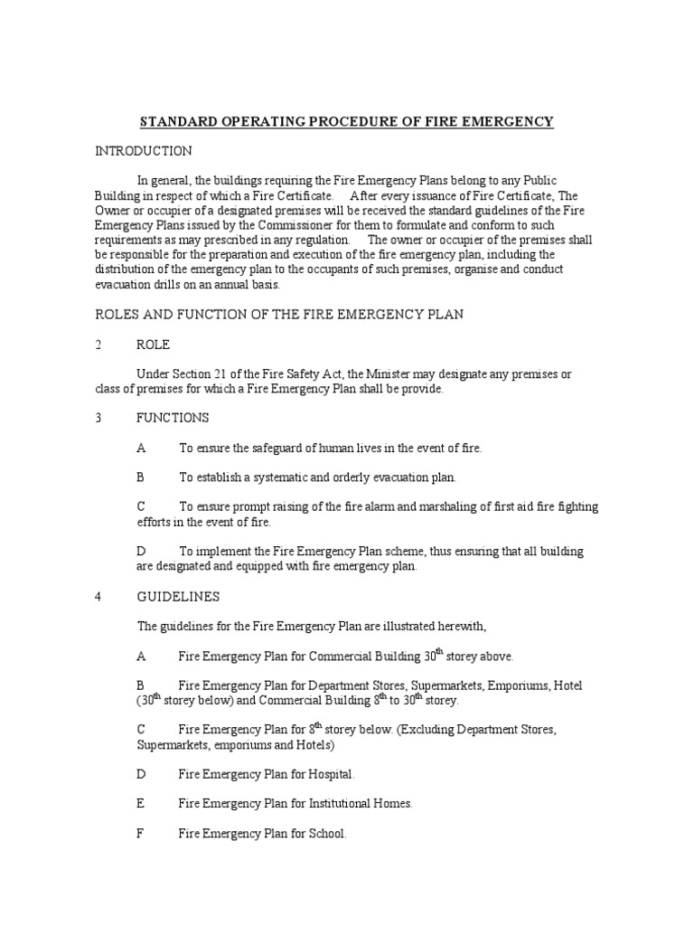
Sop Fire Emergency PDF
Related Post:







