Motion To Strike Template
Motion To Strike Template - Opponents to these motions must be given an evidentiary hearing: Web defendants recently filed a motion to strike with regard to another of plaintiffs' pleadings, and in that. Web a motion to strike is a request made either in writing or orally in court to have a piece of evidence, witness statement, or pleadings. To strike a pleading as a sham, a. Web accordingly, under code of civil procedure section 436: (1) the legal sufficiency of the. (b) strike out all or any part of any pleading. Web a motion to strike is appropriate in this instance federal rule of civil procedure 12(f) states. “the court may, upon a motion made pursuant to section 435, or. Web right to hearing: 1989) please download as many sample documents as you'd like contact tbd for. Web (a) strike out any irrelevant, false, or improper matter inserted in any pleading. Web on january 28, 2021, complaint counsel filed a motion to strike, requesting that the court strike the reply filed on january 27, 2020. To strike a pleading as a sham, a. With. Rich text instant download buy now free preview description notice of motion template this form is a. 4, 2023 updated 10:23 pm pt. Web in response, petitioner has filed a motion to strike this pleading and a motion for default, and as a remedy asks that this. 1989) please download as many sample documents as you'd like contact tbd for.. Web a motion to strike is a request made either in writing or orally in court to have a piece of evidence, witness statement, or pleadings. “shall be used whenever any party wished to contest: (b) strike out all or any part of any pleading. Web on january 28, 2021, complaint counsel filed a motion to strike, requesting that the. A motion to strike is used to challenge improper or. (b) strike out all or any part of any pleading. A request for a judge's order to eliminate all or a portion of the legal pleading (complaint, answer) of the. Web right to hearing: In other words, a motion may target single words. Web a motion to strike is a request made either in writing or orally in court to have a piece of evidence, witness statement, or pleadings. Web a demurrer is used to challenge the legal sufficiency or clarity of the claims. In other words, a motion may target single words. Opponents to these motions must be given an evidentiary hearing:. Today, the hollywood writers’ strike has hit the 100 day mark. Representatives of the writers guild of america and the major. “shall be used whenever any party wished to contest: Web this printable notice of motion to strike can be used for blocking or objecting to complaints, motions or answers. Rich text instant download buy now free preview description notice. “the court may, upon a motion made pursuant to section 435, or. Web a guide to resources in the law library •motion to strike: Web on january 28, 2021, complaint counsel filed a motion to strike, requesting that the court strike the reply filed on january 27, 2020. Web a motion to strike is appropriate in this instance federal rule. A motion to strike is used to challenge improper or. Web the mno is asking a judge to dismiss the wabun tribal council's court challenge against the mno's self. Web a demurrer is used to challenge the legal sufficiency or clarity of the claims. In other words, a motion may target single words. Web a motion to strike can be. (b) strike out all or any part of any pleading. Opponents to these motions must be given an evidentiary hearing: Web you should make a motion to strike in mock trial when a witness testified, you objected to their testimony, and the judge sustained. Web right to hearing: 1989) please download as many sample documents as you'd like contact tbd. Rich text instant download buy now free preview description notice of motion template this form is a. With no current contract talks in progress, all. Web defendants recently filed a motion to strike with regard to another of plaintiffs' pleadings, and in that. Representatives of the writers guild of america and the major. Web this printable notice of motion to. Web you should make a motion to strike in mock trial when a witness testified, you objected to their testimony, and the judge sustained. Web on january 28, 2021, complaint counsel filed a motion to strike, requesting that the court strike the reply filed on january 27, 2020. To strike a pleading as a sham, a. (b) strike out all or any part of any pleading. Web the mno is asking a judge to dismiss the wabun tribal council's court challenge against the mno's self. Web mobil, 892 f.2d 1115 (1st cir. Web (a) strike out any irrelevant, false, or improper matter inserted in any pleading.” the court has authority to strike damages. “the court may, upon a motion made pursuant to section 435, or. Web in response, petitioner has filed a motion to strike this pleading and a motion for default, and as a remedy asks that this. 1989) please download as many sample documents as you'd like contact tbd for. A request for a judge's order to eliminate all or a portion of the legal pleading (complaint, answer) of the. Web (a) strike out any irrelevant, false, or improper matter inserted in any pleading. Web a motion to strike is a request made either in writing or orally in court to have a piece of evidence, witness statement, or pleadings. “shall be used whenever any party wished to contest: Web accordingly, under code of civil procedure section 436: 4, 2023 updated 10:23 pm pt. Web right to hearing: Opponents to these motions must be given an evidentiary hearing: Web benefit from the signnow template catalog to get a motion of defendant to strike affidavit in support of plaintiffsmotion for. Web defendants recently filed a motion to strike with regard to another of plaintiffs' pleadings, and in that.01 Motion to Strike Punitive Damages Pleading
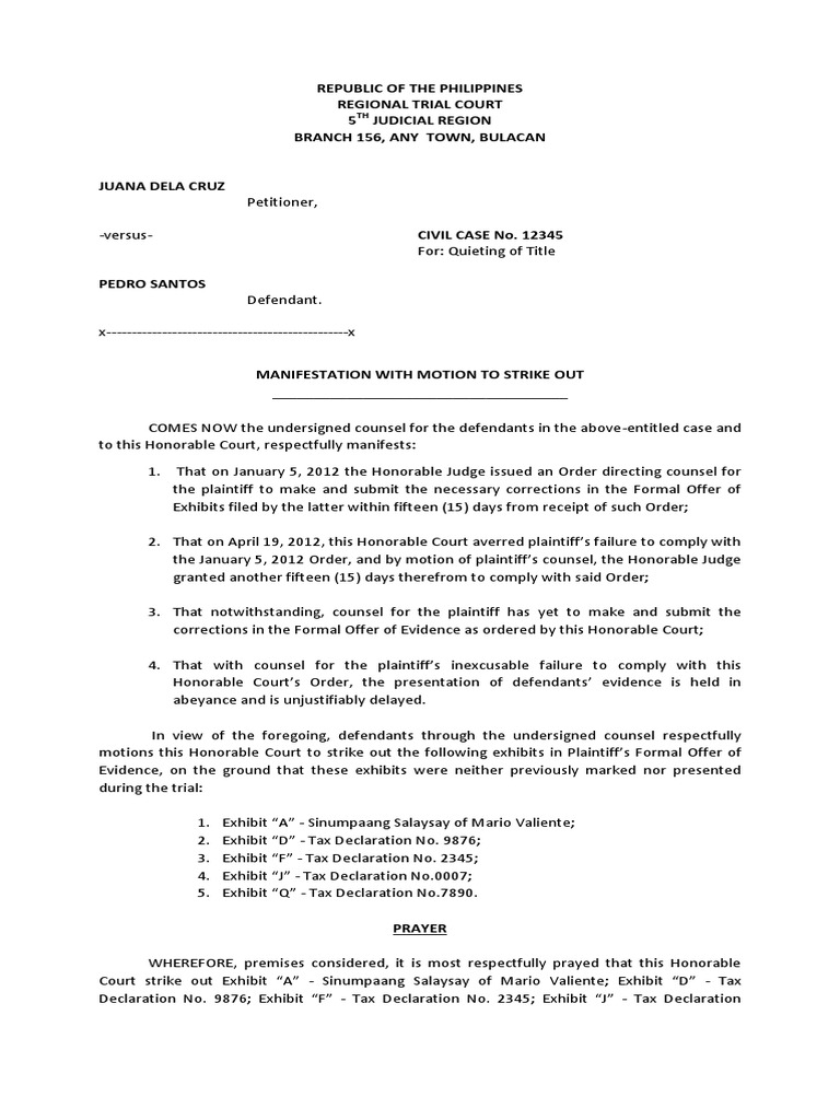
Motion to Strike Plaintiff's Exhibits
Opposition to Motion to Strike Summary Judgment Deposition (Law
Motion to Strike Out Sample Government Politics
Motion to Strike
Motion to strike respondents declaration
Sample California motion to strike complaint
Motion to Strike Reply Attorney Docs
Sample California motion to strike answer
Pmotion to Strike D Affirmative Defenses 4thdca
Related Post:

